Физическая реализация кубитов в квантовых вычислениях
Статья опубликована в журнале «Фотоника», том 17, выпуск №3/2023Авторы:
С. Н. Мосенцов, Н. В. Буров
АО «ЛЛС», Санкт-Петербург, Россия
Аннотация
Не первый год в компании «ЛЛС» продолжает активно развиваться направление квантовых технологий. Совместно с ведущими университетами и исследовательскими центрами России разрабатываются и реализуются новые подходы к развитию систем квантовой криптографии и квантовых вычислений. Последнее является одним из самых приоритетных направлений в современной науке не только в России, но и в мире.
В рамках поиска способов масштабирования квантовых систем и повышения их стабильности непрерывно расширяются вычислительные возможности уже созданных квантовых компьютеров. Увеличивается количество используемых кубитов, модернизируются системы поддержания кубитной когерентности, ведутся поиски оптимальной технологии изготовления многокубитных архитектур.
Однако на данный момент многие трудности, с которыми приходится сталкиваться учёным и инженерам, связаны с несовершенством имеющихся технологий. В данной статье для более глубокого понимания вопроса и препятствий, лежащих на пути его решения, освещается как понятие кубита, так и тема физической их реализации.
Ключевые слова: кубиты, квантовые технологии, квантовая криптография, квантовые вычисления
Введение
Современные вычислительные системы оперируют информацией, представленной в виде двоичного кода. Любой пакет данных, информация, в них представлены в виде последовательности битов, которые могут принимать строго определённые значения – 1 или 0. С этими битами возможно выполнение различных логических (битовых) операций.
Именно битовые операции в сочетании с запоминающими элементами реализуют всё богатство возможностей современной цифровой техники. Некоторые основные битовые операции перечислены ниже:
- Оператор отрицания «НЕ»
- Оператор «И»
- Оператор «ИЛИ»

- Оператор «Исключающее ИЛИ»
Однако после появления квантовой механики в начале XX века учёные и инженеры стали предпринимать попытки применить новую область физики к тем или иным прикладным задачам. В том числе к информатике. Действительно, ведь в отличие от хорошо знакомой классической физики, в квантовой механике находят своё проявление эффекты, которые зачастую контринтуитивны и имеют потенциально вероятностный характер. Так, например, в квантовой механике возможно существование систем, которые, как и классические биты, могут находиться не только в двух хорошо определённых состояниях, но и в состоянии т.н. суперпозиции этих состояний –
.
Использованная выше запись в скобкахВ итоге состояние квантовой системы может быть записано какназывается нотацией Дирака, которая вводит определённый математический формализм для описания квантовых систем. Так в нотации Дирака используются векторы Бра и кет (англ. bra-ket < bracket скобка), представляющие собой следующие структуры:
Бра-вектор:; Кет-вектор:
Каждому кет-векторуставится в соответствие комплексно-сопряжённый бра-вектор
. Над этими векторами возможно осуществление стандартных операций по правилам, которые также используются и при работе с обычными векторами:
Скалярное произведение бра-вектора с кет-вектором (а точнее действие бра-вектора на кет-вектор) записывается в виде. На векторы, описывающие состояния системы, когда это возможно, накладывается условие нормировки
.
, коэффициенты c0 и c1 называются амплитудами вероятности и их квадрат отражает вероятность, с которой при измерении квантовой системы мы найдём её в том или ином состоянии.
Например, если состояние системы описывается следующим образом:
то вероятность обнаружить систему
в состоянии
будет равна
а в состоянии
Так как подобные квантовые системы допускают своё существование не только в двух состояниях -
и
, но, в отличие от битов, и в суперпозиции этих состояний, такие системы называют квантовыми битами или сокращённо – кубитами. Также важное отличие кубита от классического бита состоит в том, что при измерении состояние кубита необратимо изменяется, чего не происходит при измерении классического бита. Измерение необратимо влияет на любую квантовую систему, которая коллапсирует и принимает какое-то определённое значение с той или иной вероятностью.
В силу нормировки сумма |cA2| + |cB2| равна 1 и кубит можно параметризировать, используя основное тригонометрическое тождество sin2α + cos2α = 1:

В результате этого появляется два параметра Θ и φ, принимающие значения 0..π и 0..2π соответственно. Таким образом, оказывается, что состояние кубита можно наглядно представить в виде вектора, отложенного на сфере Блоха (рис. 1).

Рисунок 1 - Сфера Блоха
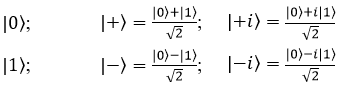
Здесь Θ и φ – это два угла поворота вектора состояния кубита. На сфере хорошо выделяются шесть точек пересечения сферы с координатными осями. В этих точках находятся ортогональные состояния кубитов, описываемые следующим образом:

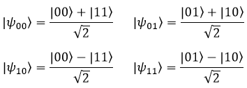
Кубиты могут быть запутаны друг с другом. Квантовой запутанностью могут обладать два и более кубита, и она выражается в наличии особой корреляции между ними, которая невозможна в классических системах. Одним из наиболее простых примеров запутанности двух кубитов являются состояния (или базисы) Белла:

Запись
обозначает состояние, когда оба кубита находятся в состоянии
. Для состояний Белла характерно то, что в результате акта измерения первого кубита возможны два результата:
- 0 с вероятностью 50% и конечным состоянием
, - 1 с вероятностью 50% и конечным состоянием
.
Как следствие, измерение второго кубита всегда даёт тот же результат, что и измерение первого кубита, т.е. данные измерений оказываются взаимозависимыми.
Технологии создания кубитных систем
Но что может быть физическим проявлением кубитов в реальных системах? На самом деле, это может быть любой объект, способный проявлять основные квантовые свойства, включая описанные выше. На сегодняшний день существует четыре основные технологии, в той или иной мере реализующие кубитные архитектуры:
- ионы в ловушке;
- нейтральные атомы;
- фотонные чипы;
- сверхпроводники.
На рис. 3 показана сформированная с помощью специальных систем формирования изображения фотография захваченных внутри ловушки ионов иттербия 174Yb+, выстроенных в цепочку.

Рисунок 2 - Схематичное представление ловушки Пауля [4]
Рисунок 3 - Фотография семи захваченных ионов в ловушке Пауля [5]
Такое расположение ионов позволяет легко ими манипулировать и адресно возбуждать. По двум измерениям ионная цепочка модулируется с помощью импульсных лазеров, а вдоль третьей оси удерживается с помощью постоянного электрического поля. Уже сейчас с помощью трехмерных ловушек удается выстраивать довольно длинные цепочки, до 22 ионов, но эффективно управлять их состояниями получается лишь для цепочки из пяти.
При масштабировании системы до большего количества ионов возникает проблема декогеренции, осложняющей, а по итогу делающей невозможной, корректную работу квантового вычислителя. На рис. 4 хорошо видно, как изменяются области максимальной флуоресценции ионов магния. Чем больше ионов загружается в ловушку, тем они сильнее сближаются, и 12-ионная цепочка превращается уже в относительно слабо различимое зигзагообразное образование.

Рисунок 4 - Изображения ионных цепочек с увеличивающимся количеством кубитов [4]
На рис. 5 приведена фотография, сделанная аспирантом Оксфордского университета Дэвидом Нэдлингером. На ней изображена ловушка Пауля и заключённый в ней единичный ион стронция. Атом, освещенный лучом лазера, поглощает и излучает достаточно света, чтобы обычная фотокамера могла запечатлеть его на длинной выдержке. Снимок сделан через окно в вакуумной камере, в которой расположена ионная ловушка.
Рисунок 5 - Фотография одиночного иона стронция в ловушке Пауля [6]
Вторая технология – использование в качестве кубитов нейтральных атомов. Как следует из названия, нейтральные атомы, в отличие от ионов, не имеют заряда. Поэтому нет возможности захватывать их в электромагнитных ловушках. Для формирования массива из нейтральных атомов и манипуляции ими используют т.н. лазерный пинцет – устройство, позволяющее манипулировать очень малыми по размеру объектами с помощью сфокусированного лазерного пучка.
Для формирования матрицы нейтральных атомов (как на рис. 6) используется набор оптических пинцетов, формирующийся благодаря специальной микрооптике и массивам микролинз (рис. 7).

Рисунок 6 - Массив атомов рубидия 6 на 6 до и после сортировки лазерным пинцетом [5]

Рисунок 7 - Внешний вид массива микролинз [7]
После захвата атомов в оптическую матрицу и их упорядочивания производится адресное возбуждение атомов лазерными импульсами. Такая система всё ещё обладает некоторыми проблемами, связанными с декогеренцией, однако она может включать в себя уже значительно большее количество кубитов, чем ионные ловушки. Тем не менее, как и у ионных ловушек, у этих систем с нейтральными атомами по-прежнему сохраняются проблемы с масштабированием. К сожалению, на данный момент затруднительно увеличивать размерность кубитных матриц, что связано не только с декогеренцией, но также с техническими ограничениями.
Третья технология – сверхпроводящие полупроводниковые чипы. Их также называют Джозефсоновскими контактами (рис. 8), так как в них возникает одноимённый эффект. Эффект Джозефсона – это явление протекания сверхпроводящего тока через тонкий слой диэлектрика, разделяющий два сверхпроводника. Эти контакты проявляют эффекты из области квантовой механики в обычном, не атомном масштабе (например, квантование энергии). Это обстоятельство позволяет использовать эти контакты в качестве кубитов.
Рисунок 8 - Фотография чипа с Джозефсоновским контактом [8]
Преимущество этой технологии состоит в том, что она базируется на уже хорошо развитой в мире технологии создания полупроводниковых чипов. Контакты имеют макроскопический размер и их можно группировать на чипах. Однако вследствие необходимости создания сверхпроводимости в этих структурах работа Джозефсоновских контактов осуществляется лишь при криогенных температурах, что не позволяет компактизировать всю установку, а по-прежнему присутствующая декогеренция ограничивает численное увеличение контактов на чипе.
Четвёртая технология – фотонные чипы (рис. 9), в которых в качестве кубитов выступают кванты света. По своей сути, это фотонные интегральные схемы, выполняющие логические операции с распространяющимися по оптическим каналам фотонами. На основе этих чипов в перспективе возможно создание фотонной логики по аналогии с уже существующей компьютерной логикой, упомянутой в начале статьи. Функции переключения можно реализовать нелинейными оптическими эффектами, вызываемыми одним управляющим оптическим сигналом и воздействующими на другой оптический сигнал.

Рисунок 9 - Фотография фотонного чипа [9]
Однако данная технология, несмотря на такие преимущества, как возможность работы при комнатных температурах и чрезвычайно высокую, по сути, световую, скорость работы, имеет относительно малую степень развитости. При реализации фотонной логики могут быть необходимы оптические резонаторы, увеличивающие энергию за счёт усиливающей интерференции (интерференции в одной фазе) и упрощающие возникновение нелинейных эффектов. Всё это сейчас затрудняет масштабирование данных систем.
Существует набор из пяти критериев, которым должна соответствовать любая кубитная система, чтобы считаться полноценным квантовым вычислителем. Они называются критериями Ди Винченцо и перечислены ниже.
- Физическая кубитная система должна хорошо масштабироваться и предоставлять доступ к каждому кубиту для его адресной характеризации.
- Должна быть возможность инициализировать начальное состояние кубитов до простого реперного состояния.
- Характерное время когерентности кубитов должно быть значительно больше, чем время совершения логической операции.
- Должна быть возможность реализации в системе универсального набора логических квантовых операций, называемых «квантовыми вентилями».
- Должна быть возможность считать результат в конце проведения расчёта (провести измерение).
Заключение
Перечисленные в статье четыре современные технологии являются основными, на которые сейчас делается упор при разработке квантовых вычислителей. Сейчас каждая из технологий соответствует лишь части критериев Ди Винченцо, так как имеет свои технические ограничения. Поэтому на данный момент неизвестно, какая из них станет преобладающей и будет той, на основе которой будет создан первый в мире полноценный квантовый компьютер.
Литература:
- Львовский А., Отличная квантовая механика. В 2 частях. Учебное пособие. — М.: Альпина нон-фикшн, 2021. — 424 с.: ISBN 978-5-91671-952-9
- Коваленко И. И., Прилипко В. К., Физические основы квантовых вычислений. Динамика кубита. — СПб.: Лань, 2019. — 214 с.: ISBN 978-5-8114-3383-4
- Кронберг Д. А., Квантовая информатика и квантовый компьютер: учебное пособие / Д. А. Кронберг, Ю. И. Ожигов, А. Ю. Чернявский ; Московский гос. ун-т им. М. В. Ломоносова, Фак. вычислительной математики и кибернетики. — Москва : МАКС Пресс, 2011. — 64, [1] с.; 21 см.; ISBN 978-5-89407-452-8
- В погоне за миллионом кубитов [Электронный ресурс]. URL: https://naked-science.ru/article/physics/v-pogone-za-millionom-kubitov?amp
- Квантовое преследование. Зачем в России занялись кубитами на холодных атомах и ионах [Электронный ресурс]. URL: https://nplus1.ru/material/2021/09/09/quantum-pursuit
- nplus1.ru [Электронный ресурс]. URL: https://nplus1.ru/news/2018/02/13/signle-atom-photo
- focuslight.com [Электронный ресурс]. URL: https://www.focuslight.com/product/component/micro-optical-component/microlens-array/homogenizer/
- C. Hamilton, R. Kautz, R. Steiner, F. Lloyd. A Practical Josephson Voltage Standard at One Volt. IEEE Electron Device Letters, EDL-6, 623-625(1985). DOI:10.1109/EDL.1985.26253
- NIST Launches Consortium to Support Development of Quantum Industry [Электронный ресурс]. URL: https://www.nist.gov/news-events/news/2018/09/nist-launches-consortium-support-development-quantum-i...
называется нотацией Дирака, которая вводит определённый математический формализм для описания квантовых систем. Так в нотации Дирака используются векторы Бра и кет (англ. bra-ket < bracket скобка), представляющие собой следующие структуры:
; Кет-вектор: 
ставится в соответствие комплексно-сопряжённый бра-вектор
. Над этими векторами возможно осуществление стандартных операций по правилам, которые также используются и при работе с обычными векторами:
. На векторы, описывающие состояния системы, когда это возможно, накладывается условие нормировки
.
.