Щелевые сканаторы выходного лазерного излучения DataRay
1. Общее описание системы
Серия щелевых сканаторов Beam'R2 и BeamMap2 представляет собой сканирующий излучение профилометр с одинаковым принципом работы. Вращающийся диск или шайба имеет пару прорезей. Фотодетектор находится за шайбой. Прорези ориентированы так, что они ортогональны друг другу. Когда луч подается на сканатор, количество энергии, пропускаемой через вращающуюся шайбу, будет меняться по мере того, как луч проходит через щель. Фотодетектор измеряет эту мощность при вращении шайбы, и полученные данные используются для создания профилей по осям X и Y, а также для расчета различных параметров луча. Получаемые профили называют интегрированными профилями интенсивности или суммарными энергетическими профилями, поскольку вся энергия, пропускаемая через щель в одном месте, интегрируется в единую суммарную точку интенсивности на профиле.

Рисунок 1 – Серия щелевых сканаторов от DataRay
Линейки сканаторов BeamMap, BeamMap Collimate и LensPlate созданы для измерения положения фокуса выходного излучения.
2. Комплектация
В стандартную комплектацию поставки щелевых сканаторов входят (рис. 2):
- Сканатор серии BeamMap2 или Beam'R2
- Флеш-накопитель с программным обеспечением и основными документами пользователя;
- Кабель USB 3.0.

Рисунок 2 – Комплект поставки щелевых сканаторов от DataRay
По желанию заказчика могут быть приобретены дополнительные аксессуары для работы со сканатором: объективы, держатели и прочее.
3. Принцип работы щелевых сканаторов
Beam'R2 использует две пары щелей x-y, одну пару с шириной щели 2,5 мкм и одну пару с шириной щели 25 мкм. (5 и 50 мкм для InGaAs). Они называются стандартными и остроконечными прорезями соответственно. Острые щели используются для измерения очень маленьких лучей (диаметр <8 мкм для Si; <17 мкм для InGaAs). Все 4 щели номинально расположены в одной плоскости.
На рисунке 3 представлена упрощенная интерпретация того, как строится профиль пучка, когда щель пересекает луч слева направо.

Рисунок 3 – Построение профиля в виде щели, пересекающей луч
BeamMap2 расширяет эту концепцию уникальными запатентованными способами. Шайба для BeamMap2 позволяет установить 4 пары щелей в разных местах по оси Z, что позволяет проводить многоплоскостные измерения в режиме реального времени. Рисунок 4 иллюстрирует принципиальную разницу между двумя шайбами сканаторов.

Принципиальная схема работы Beam’R2

Принципиальная схема работы BeamMap2
Рисунок 4 – Принципиальные отличия шайб на сканаторах Beam’R2 и BeamMap2
Для очень маленьких лучей ширина нормальной щели велика по сравнению с диаметром луча. Широкая щель приведет к значительному сглаживанию профиля, что приведет к неточным измерениям. В этом случае следует использовать прорези с острым краем. Острая щель намного больше диаметра луча. Когда луч пересекает острие щели, отклик фотодетектора начинается с положения 0 и затем достигает пика, когда весь луч оказывается внутри острия. Профиль выравнивается на этом пике до тех пор, пока щель не переместится настолько, что луч перестанет полностью удерживаться. Диаметр луча можно определить, анализируя нарастание отклика фотодетектора. Эти профили часто называют профилями дифференцированной интенсивности (рис. 5). Наклон профиля с левой стороны определяет диаметр луча.

Рисунок 5 – Построение профиля при прохождении остроконечной прорези
Важно понимать разницу между инструментами для профилирования луча на основе камеры и инструментами с щелевой сканирующей системой. Поэтому рассмотрим принципиальные отличия в следующем параграфе.
4. Сравнение щелевых сканаторов с камерами профилометрами
Камеры профилирования и щелевые сканаторы могут точно профилировать различные источники, но их методология существенно различается. Камера состоит из двумерного массива светочувствительных пикселей. Это позволяет сопутствующему программному обеспечению генерировать полное 2D изображение источника. Затем программное обеспечение может создать профиль, считывая строку пикселей. Его часто называют профилем интенсивности или энергии. Это существенно отличается от сканирующих щелевых инструментов, профили которых представляют собой профили интегральной интенсивности или суммарной энергии. Чтобы получить эквивалентный интегральный профиль интенсивности от камеры, необходимо просуммировать каждый пиксель в одном столбце для каждой точки в x-профиле. Также необходимо суммировать каждый пиксель в строке, чтобы получить единую точку в интегрированном y-профиле интенсивности. На идеальном гауссовом лазере (TEM00) интегрированный профиль интенсивности будет соответствовать профилю интенсивности.
По мере того как пучок становится менее гауссовым, несоответствие между интегральной интенсивностью и профилем интенсивности увеличивается. На рисунке 6 показан профиль интенсивности негауссова пучка, тогда как на рисунке 7 представлен интегральный профиль интенсивности. На этом рисунке серые стрелки представляют часть луча, которая суммируется для представления каждой точки профиля.

Рисунок 6 – Профили энергии или интенсивности негауссового луча
Суммарные энергетические профили (рис. 7) точно представляют результаты сканирующего щелевого прибора.

Рисунок 7 – Профили суммарной энергии или интегральной интенсивности негауссового луча
Как показывает этот пример, системы на основе камер имеют значительное преимущество перед сканирующими щелевыми приборами при профилировании негауссовых или многомодовых источников. Сканирующие щелевые инструменты скрывают некоторые двумерные данные этих лучей. Невозможно извлечь энергетический профиль из суммарного энергетического профиля. Однако сканирующие щелевые инструменты имеют несколько преимуществ, которые компенсируют это:
1. Сканирующей щели по сравнению с детектором на основе камеры заключается в более высоком разрешении. В настоящее время наименьший размер пикселя, предлагаемый датчиками лазерного профилирования, составляет около 3 мкм, поэтому измеряемый луч должен быть не менее 30 мкм. Сканаторы обеспечивают значительно лучшее разрешение 0,1 мкм и позволяет профилировать лучи размером до 2 мкм. Таким образом, при измерении очень малых лучей предпочтение отдается сканирующему щелевому устройству.
2. В дополнение к профилированию небольших лучей сканирующие щелевые устройства имеют большой диапазон длин волн. Кремниевые (Si) детекторы в камерах плохо отображают длины волн выше 1200 нм, но сканирующие щелевые устройства могут использовать как Si, так и фотодетекторы на основе InGaAs. Это значительно расширяет диапазон рабочих длин волн.
Однако камеры имеют существенное преимущество перед щелевыми сканаторами с точки зрения пригодности для измерения импульсного лазера. Многие камеры имеют глобальные затворы, которые позволяют одновременно подвергать все пиксели воздействию источника. Это позволяет захватывать и анализировать одиночный импульс.
Щелевые сканаторы не могут регистрировать отдельные импульсы, поскольку сканирование представляет собой физическое движение, требующее времени. Возможны только усредненные по времени измерения. Если частота повторения импульсов достаточно высока, импульсный источник может появиться как непрерывный сигнал для сканирующего щелевого детектора.
5. Программное обеспечение
Программное обеспечение (ПО) мало отличается от программы для камер-профилометров DataRay (рис. 8). В этом и заключается существенный плюс использования камер и сканаторов компании DataRay. Однако для лучшего понимания ПО, рассмотрим возможности относительно использования щелевых сканаторов.

Рисунок 8 – Интерфейс ПО DataRay
Для более детального понимания возможностей ПО необходимо рассмотреть несколько панелей:
- Панель инструментов (верхняя часть ПО);
- Панель результатов (слева);
- Панель профилей (снизу);
- Панель изображений (справа).
5.1. Панель инструментов
Для удобства пользователя при подключении сканатора к компьютеру программное обеспечение распознает модель сканатора, таким образом панель инструментов оптимизируется под подключенное устройство. Таким образом, на рис. 9 представлена панель инструментов для BeamMap2 (рис. 9а) и Beam’R2 (рис. 9б).

Рисунок 9 – Панель инструментов: а) для BeamMap2; б) Beam’R2
Описание каждой кнопки можно посмотреть если навести курсор мыши на эту кнопку. В зависимости от обновления ПО, могут появиться новые кнопки, однако их назначение можно узнать также, наведя курсор мыши.
5.2. Панель результатов
Панель результатов разделена на две условные части (рис. 10):
- Панель метода измерения (отмечено синим);
- Панель результатов измерений (отмечено красным).

Рисунок 10 – Панель результатов
Методы измерения Clip[a] и Clip[и] — это процент пикового сигнала, при котором измеряется диаметр луча во время измерения ширины этого луча. Другими словами, данные методы сравнивают интенсивность пикселя с пиковой интенсивностью для определения отсечения для диаметров луча 2Wa (Clip[a]) и 2Wb (Clip[b]).
Зеленая фоновая полоса показывает текущий тип устройства и его состояние. Также этой кнопкой можно управлять камерой: включать ее или останавливать.
Xc и Yc — положения центроида луча, рассчитанные как «центр масс» по интенсивности для уровней луча выше текущего уровня центроида. Это значение по умолчанию равно 13,5% и его можно изменить в строке меню в меню.
В панели ПО для BeamMap2 добавлены M^2 и Zc, а значения Xc и Yc изменяются на X1c и Y1c, X2c и Y2c, X3c и Y3c или X4c и Y4c, в зависимости от выбранной z-плоскости, или по умолчанию на X2c и Y2c, когда на панели инструментов выбран набор профилей u или v. Плоскость 2z считается нулевой плоскостью, следовательно, все калибровки производятся относительно данной плоскости.
Эллиптичность — это отношение минимального диаметра луча к максимальному для выбранного уровня Clip[a].
5.3. Панель профилей
Панель профилей делится на две части: профиль по оси Х и профиль по оси Y (рис. 11).
Рисунок 11 – Отображение профиля
Прежде всего обратите внимание, что нулевой уровень представляет собой линию шириной в три пикселя, центр которой является фактическим нулем, установленным программным обеспечением после вычитания базовой линии. Эта линия нулевого уровня устанавливается на пять пикселей выше основания области графика, чтобы «отрицательный» (электрический) шум оставался видимым.
Программное обеспечение автоматически определяет пиковый уровень и внешние пересечения необработанной ширины 13,5 %. Затем он сканирует ширину примерно в четыре раза больше, чем эта необработанная ширина 13,5 %. Фактическая базовая линия затем рассчитывается как среднее значение значений на каждом конце сканирования (5 % длины сканирования на каждом конце). Эта базовая линия затем вычитается для создания отображаемого нулевого уровня. Рассчитанное базовое значение также отображается под профилем.
Если луч имеет широкие «крылья» низкого уровня, которые лучше всего видны в логарифмическом режиме, возможно, неправильно установлен нулевой уровень или необходимо установить более широкую область сканирования.
2Wua и 2Wub – это ширина профиля на уровнях Clip[a] и Clip[b], выраженная в % от пика.
Масштаб – Scale – xx,x мкм/дел для текущей настройки масштабирования.
zplane = xxx мкм. Плоскость на шайбе Beam’R2 или BeamMap2, по которой снимался профиль. Отрицательное число указывает на плоскость, расположенную ближе к передней части сканатора.
Beam’R2 выполняет все измерения в одной и той же номинальной плоскости z, поэтому zplane всегда находится в пределах нескольких десятков микрон (или лучше) от 0 мкм.
Peak = xx,x % указывает пиковое значение (ненормализованного) профиля в процентах от высоты дисплея, что также является процентом диапазона 12-битного (4096 уровней) АЦП.
Основание – xx.x % указывает вычитаемое основание. В темной области оно будет низко. Рядом с солнечным окном она может быть высокой.
G = xx,x дБ + yy,y дБ. Усиление (аппаратное и программное) xx.x дБ на этом канале, а также программное усиление yy.y дБ, необходимое для (по умолчанию) нормализованного отображения профиля в оптических дБ.
5.4. Панель изображений
Панель изображения разделена на три части (рис. 12):
- Уровень перекрестия;
- 2D изображение;
- 3D изображение.
Рисунок 12 – Панель изображения
Большая желто-зеленая мишень с диаметром по умолчанию 500 мкм показывает область вокруг относительного центроида (определяется пользователем) или абсолютного центроида (единица определяется) на основе значений Xc, Yc (рис. 13).

Рисунок 13 – Режим абсолютного центроида
X и Y — обычные оси, где X — горизонтальная, а Y — вертикальная. Оси U, V — это оси, измеренные парой (парами) щелей, идентичные осям X и Y для всех профилометров, когда устройство установлено в стандартной конфигурации.
Центроид в виде кольца (или «бублика») представляет собой внешний круг диаметром 30 пикселей показывает центроид луча по отношению к эталону центроида с абсолютной единицей измерения 0,0, установленному во время калибровки прибора.
Внутренний круг диаметром 15 пикселей показывает центроид луча относительно последнего выбранного относительного центроида.
Когда луч выходит за пределы текущего радиуса, индикатор «застревает» на соответствующем краю или углу.
Круги и эллипсы всегда имеют цвет, обратный той части мишени, на которой они расположены. т. е. они меняют цвет при движении над целью.
Кнопка «Toggle Centroid» служит переключателем между абсолютным и относительном центроиде. Если вы выберете относительный, он сбрасывает исходную точку относительного центроида на текущую позицию центроида, какой бы она ни была.
Для точности спецификации необходимо попытаться работать с центроидом, близким к абсолютному центроиду, т.е. центроид должен находиться в пределах экрана с радиусом 500 мкм. Чем дальше индикатор, тем больше вероятность того, что энергия края луча может упасть за край детектора и повлиять на измерение.
Если усиление в дБ увеличивается при перемещении луча дальше от центра, значит, энергия падает с детектора.
2D изображение – это инструмент визуализации для всех щелевых сканаторов. Отображение 2D-профиля не является точным изображением выходного луча. Он отображает производную интерпретацию 2D вида.
Алгоритм отображения предполагает единственно разумную реконструкцию информации, содержащейся в двух ортогональных развертках. т.е. предполагается, что: Измеренный профиль X идентичен для всех значений Y. Измеренный профиль Y идентичен для всех значений X.
3D изображение – это также инструмент визуализации выходного пучка.
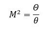
6. Измерение М2Коэффициент качества луча M2 – это безразмерный параметр, который характеризует степень несовершенства реального лазерного луча. Чем ближе значение M2 к 1,0 (т.е. чем ближе луч к гауссовскому совершенству TEM00), тем ближе луч может быть сфокусирован до размера его пятна, ограниченного дифракцией.
Из-за ограничений оптического резонатора, среды генерации и, или выходной и, или вспомогательной оптики, большинство лучей не являются “идеальными”, ограниченными дифракцией, с гауссовым профилем и чистой модой TEM00, Сложные лучи могут содержать несколько вкладов TEMxy, что приводит к высоким значениям M2.
В простейшем случае M2 может быть определен как: отношение расходимости фактического луча к расходимости теоретического, ограниченного дифракцией луча TEM00 с тем же диаметром перетяжки:

где Θ – это измеренная полноугольная расходимость реального луча в дальней зоне, а θ – это теоретическая расходимость в дальней зоне “идеального” гауссова луча TEM00, который имеет такой же диаметр перетяжки, что и измеряемый луч.

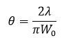
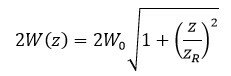
где λ длина волны пучка, а W0 - радиус перетяжки второго момента пучка (2σ). Форма кривой M2 – гиперболическая и определяется формулой:
где zR – длина Рэлея, определяемая как расстояние, на котором диаметр луча на √2 больше, чем диаметр в перетяжке. zR может быть рассчитано, как:
Определение M2 как измеренного диаметра:

Рисунок 14 – Максимальный диаметр входного луча для различных длин волн
Международный стандарт: «Лазеры и связанное с лазером оборудование. методы тестирования для параметров лазерного луча, ширины луча, угол расхождения и фактор распространения луча (ISO 11146:1999)» требует, чтобы учитывались следующие параметры:
-
Использование второго момента (4σ или дисперсии) для определения диаметра пучка;
- Усреднение 5 измерений в каждой позиции по z;
- Минимум десять измерений по z. «... половина из них должна быть распределена в пределах одной длины Рэлея по обе стороны от перетяжки луча, а половина из них должна быть распределена за пределами двух длин Рэлея от перетяжки луча.» (DataRay предлагает от 10 до 60 измерений по z). В данном случае полагаем, что, в пределах одной длины Рэлея это |z| < zR, и за пределами двух длин Рэлея – это |z| > 2zR.
- Для равноотстоящих измерений по z и изначально неизвестного положения перетяжки пучка эти требования стандарта к положению образца удовлетворяют как минимум 18-ти измерениям с интервалами zR/3 вокруг перетяжки, например, с 3zR
по +2.67zR. Чтобы обеспечить пространственную выборку фактического диаметра перетяжки пучка с точностью до 1 %, требуется выборка z вокруг перетяжки пучка, которая должна располагаться с интервалом zR/3.5. (Для равноотстоящих образцов образцы в диапазоне zR до 2zR
являются дополнительными к конкретным требованиям стандарта, но все же могут использоваться в расчетах).
- Гиперболическая аппроксимация данных методом наименьших квадратов.
7. Модели профилометров для разных применений
Продукты компании DataRay условно разделены на три вида: щелевые профилометры, камеры-профилометры и дополнительный оснастки.
7.1. Щелевые профилометры
DataRay производит два типа сканирующих щелевых профилометров: запатентованную серию BeamMap, которая предлагает измерение в реальном времени M², управление расходимостью, фокусом и выравниванием, и серию Beam'R, которая обеспечивает доступное, компактное и точное профилирование луча. Данные профилометры доступны с детекторами Si, Ge и InGaAs, что позволяет охватить широкий диапазон длин волн: от 190 до 2500 нм.
В таблице 1 приведены основные характеристики щелевых профилометров DataRay.
Таблица 1 – Характеристики щелевых профилометров
|
Параметры
|
Beam'R
|
BeamMap |
|
Питание
|
USB 2.0 Port-powered |
|
|
Режимы пучка
|
Непрерывный , импульсный только (PRR (детектор Si) ≈ [500/Пучок (размеры пучка в мкм)] кГц) |
|
|
Доступные длины волн, нм
|
Si: 190 - 1150 нм |
|
|
Разрешение, мкм |
0,1 |
|
|
Скорость обновления
|
5 Гц в реальном времени (регулируемая 2-10 Гц) |
|
|
M2 |
Да, но с дополнительным аксессуаром M2DU-BR |
Да, в режиме реального времени |
|
Автопоиск фокуса
|
||
|
Наведение / расхождение
|
||
|
Коммутируемое усиление, дБ |
32 |
|
В зависимости от выбранного материала датчика варьируются и максимальные размеры луча:
- для Si – 4х4 мм;
- для InGaAs – 3х3 мм;
- для расширенного InGaAs – 2х2 мм.
7.2. Камеры-профилометры
DataRay производит три серии камер для профилирования выходного луча: камеры WinCamD, BladeCam и TaperCamD. Эти камеры на основе микроболометров CMOS и VO охватывают широкий диапазон различных длин волн от 0,190 до 16 мкм.
В таблице 2 приведены основные отличия в моделях камер DataRay. На рисунке 15 можно ознакомиться с внешним видом камер и их габаритами.

Рисунок 15 – Максимальный диаметр входного луча для различных длин волн
Таблица 2 – Характеристики камер-профилометров
|
Параметры
|
WinCamD-LCM
|
TaperCamD-LCM
|
BladeCam-XHR |
WinCamD-IR-BB
|
|
Питание
|
USB 3.0 |
USB 3.0 |
USB 2.0 |
USB 3.0 |
|
Режимы пучка
|
CW, импульсный, автоматический запуск |
CW, импульсный, автоматический запуск |
CW, квази-CW |
CW, импульсы > 1 кГц |
|
Доступные длины волн, нм
|
355 – 1150* |
355 – 1150* |
355 – 1150* |
2 - 16 мкм |
|
Размер пикселя, мкм
|
5.5 x 5.5 |
12.5 x 12.5 |
5.2 x 5.2 |
17 x 17 |
|
Количество пикселей
|
4.2 Мп |
4.2 Мп |
1.3-3.1 Мп |
307 кп |
|
Захват одиночного импульса PRR
|
12.6 кГц |
N/A |
N/A |
N/A |
|
Макс. частота кадров, Гц
|
60+ |
60+ |
20+ |
30 |
|
Сигнал к среднеквадратичному шуму
|
2,500:1 |
2,500:1 |
1,000:1 |
≥1000:1 |
|
Коммутируемое усиление, дБ
|
44 |
44 |
44 |
N/A |
|
ADC |
12-bit | 12-bit |
10-bit |
14-bit |
*Длина волны зависит от установленного детектора. Возможна замена стандартного кремниевого детектора для расширения диапазона захватываемых длин волн.
При наличии дополнительных вопросов не стесняйтесь обратиться к специалистам компании «ЛЛС». Мы всегда рады Вам помочь и проконсультировать!