Обзор интерферометра CLEVEMETER 3D от Nyfors
Интерферометр Nyfors CLEVEMETER3D
1. Общее описание системы
Nyfors CleaveMeter 3D – волоконный портативный интерферометр, предназначенный для проверки торцевых поверхностей сколов волокон диаметром по оболочке от 125 до 1200 мкм (рис. 1). В данном интерферометре используются два различных интерферометрических метода: бесконтактная интерферометрия Майкельсона и бесконтактная интерферометрия Майкельсона со сдвигом фазы. CleaveMeter 3D использует фазосдвигающую интерферометрию для создания трехмерных изображений торца волокна с высоким разрешением, используя комбинированную информацию из нескольких интерферограмм.

Рисунок 1 – Комплектующие для проведения исследования волокна
Программное обеспечение MegaPixel Viewer доступно в трех различных версиях: Standard или Premium (для версии CleaveMeter 2) и 3D (для версии CleaveMeter 3D). Система предназначена для научных исследований и производственных площадок, где необходим контроль качества поверхности торца волокна
2. Комплектность оборудования
CleaveMeter поставляется со следующими элементами:
- Интерферометр
- USB-накопитель с программным обеспечением для ПК (CleaveMeter Megapixel Viewer) и руководством пользователя;
- Краткое руководство по эксплуатации для CleaveMeter & Megapixel Viewer;
- 2 шестигранных ключа (2,5 и 3 мм);
- Пластина-адаптер (опционально, приобретается отдельно);
- Держатели волокна (опционально, приобретается отдельно)

Рисунок 2 – Комплектующие для проведения исследования волокна
Для укладки волокна и его исследования необходимо выбрать пластину-адаптер под специальные держатели волокна (держатели Fujikura или держатели Nyfors). В общий комплект поставки пластина не входит так же, как и держатели для разных диаметров волокон.
Для исследования угловых сколов также необходима угловая пластина-адаптер, которая устанавливается сверху на перпендикулярную пластину и удерживается специальными магнитами.
Программное обеспечение CleaveMeter Megapixel Viewer имеет ряд особенностей:
- Поддерживает 64-разрядную операционную систему;
- Ориентация линии измерения показана на изображении как графически, так и численно;
- Имеет три десятичных знака для угла скола;
- Программное обеспечение требует лицензионного файла. Файл лицензии привязан к одному или нескольким серийным номерам камеры, а также определяет, какие функции должны быть включены в приложение. Лицензия не привязана к конкретному ПК или пользователю.
- Программная компенсация угловой погрешности пластины-адаптера, позволяющая чрезвычайно точно измерять углы скола (требуются адаптеры с сертификатом, указывающим угловую погрешность по «х» и «у» осям);
- Программная функция для измерения угловой погрешности пластины-адаптера;
- Меню измерений с измерением окружности по 2 и 3 точкам;
- Горизонтальное и вертикальное размещение линии измерения удерживая клавишу Shift;
- Добавлена функция угловой дуги для измерения перпендикулярных углов, называемая «измерение плоского угла».
- Режим трехмерного анализа, позволяющий восстановить истинную поверхность с высоким разрешением с помощью CleaveMeter 3D, используя встроенный электромеханический элемент фазового сдвига для сдвига фазы интерференционной картины;
- Дополнительная индикация соответствия критериям успешного прохождения теста «pass / fail» для измерений угла скола и структуры, образовавшейся в результате соприкосновения лезвия с кварцем.
Оптический модуль Nyfors CleaveMeter 3D содержит оптическую систему, которая формирует изображение интерференционных картин тестируемого волокна. (рис. 3). Интерферометр оснащен микрометром для фокусировки и оптимизации контраста интерференционных полос. Регулировка получаемого изображения относительно центра поля обзора также возможна с помощью программного управления.

Рисунок 3 – внешний вид оптического модуля
За счет портативности интерферометра внешний вид интуитивно понятен пользователю.
4. Принцип работы CLEAVEMETER 3D/3D+
Общий принцип работы интерферометра представлен на рисунке 4. Свет от когерентного источника, светодиода, попадает на разделяющую излучение призму (светоделитель). Одна половина луча направляется на торец волокна, с помощью вспомогательного зеркала, а другая направлена на эталонную оптическую плоскость, расположенную на том же расстоянии от делящей призмы, что и тестируемый образец. Пришедший обратно свет перераспределяется и отображается на детекторе.
Рисунок 4 – Принцип работы интерферометра
За счет волновой природы света полученные лучи от образца и эталона интерферируют и на экране программного обеспечения можно увидеть интерференционную картину торца.
Линза микроскопа сфокусирована на эталонной плоскости, что исключает необходимость перефокусировки линзы.
Возможность исследования поверхности торца волокна в трехмерной проекции позволяет восстановить топографию с использованием встроенного электромеханического элемента для сдвига фазы интерференционной картины.
При скалывании волокна скалывателем от Nyfors, торец автоматически оказывается на правильном расстоянии от оптики и в пределах длины когерентности света. При использовании скалывателя другого производителя необходимо уложить волокно в держатель, а также проконтролировать чтобы торец волокна лежал на V-образной канавке. Картина интерференции отобразится мгновенно. Если для исследования торца используется держатель правильного размера, изображение волокна будет получено ровно в центре экрана. В противном случае меньшие диаметры будут отображаться выше, а большие диаметры ниже центра экрана.
Интерферометр способен измерять угловое смещение от предварительно заданного угла наклона углового адаптера (например, 8 градусов или 15 градусов). После помещения волокна в адаптер и обнаружения грубого фокуса волокно необходимо повернуть так, чтобы его торцевая поверхность со сколом была параллельна светоделителю. Во время вращения необходимо смотреть на край волокна и сфокусировать изображение по всему периметру. После этого, следует выполнить точную настройку фокуса, чтобы получить интерференционные полосы. Важно найти область с минимальным количеством интерференционных полос за счет выравнивания волокна. После определения интерференционной картины для измерения угла необходимо провести измерительную полосу поперек интерференционных полос и определить угловое смещение (от угла наклона пластины-адаптера).
При использовании метода углового смещения необходимо передвинуть пластину в сторону оптической схемы. Если поток интерференционных полос направлен вниз, отображаемое значение угла скола должно быть добавлено к значению наклона угловых адаптеров. В противоположном направлении рассмотрения (вверх) значение следует вычесть из значения наклона адаптера.

Рисунок 5 – Расположение волокна в угловой пластине-адаптере
Программное обеспечение позволяет использовать функцию компенсации угла при измерении угла скола. Тогда можно задать угол адаптера с погрешностью угла оси «y» такой же величины, как и у углового адаптера (например, для адаптера 8 градусов значения коррекции погрешности должны быть «х» = 0.000 и «y» = 8.000 градусов) и считайте фактический угол, используя линию измерения или инструмент 3D-анализа.
Примеры получения интерференционных картин и их описание можно увидеть в таблице 1.
Таблица 1. Примеры получения интерференционных картин
| Интерференционная картина | Описание |
![]() Почти идеальный стол |
Интерференционная картина
Когда волокно с идеально плоской торцевой поверхностью, перпендикулярной оси волокна, будет видна одна полоса по всей торцевой поверхности. В зависимости от расстояния от эталонной плоскости полоса будет либо темной, либо светлой. |
Угол 0,2 °, перпендикулярный скол |
Возвышения и впадины
При повороте микрометра по часовой стрелке торец приближается к эталонной поверхности. В то время как волокно перемещается в направлении эталонной поверхности, интерференционные полосы непрерывно перемещаются “перетекают” от более высоких уровней на более низкие уровни. Этот эффект можно использовать, чтобы определить, какие области являются возвышениями или впадинами.
|
![]() Угол 1,15 °, плоский торец |
«Касание» лезвием волокна |
Поврежденная поверхность торца |
"Гребенка" |
Стоит отметить, что производитель может заменить источник излучения 660,5 нм на другой, в зависимости от требований заказчика.
5. Программное обеспечение CleaveMeter Megapixel Viewer
На рисунке 6 можно увидеть графический интерфейс пользователя программного обеспечения. Для получения видео в режиме реального времени нужно нажать кнопку «Start video» или «Camera-Start/Stop video» в поле меню.

Рисунок 6 – Графический интерфейс программного обеспечения
Если изображение слишком темное или слишком светлое, необходимо отрегулировать время экспозиции. Перед настройкой времени экспозиции рекомендуется использовать нейтральные значения контрастности, яркости и гаммы.
В разделе Camera – Settings пользователь может изменить некоторые менее часто используемые настройки.
Чтобы измерить угол скола, пользователь должен определить линию измерения. Каждая полоса над линией измерения обозначается цветной точкой. В разделе lnfo приложение отобразит общее количество полос, обнаруженных над этой линией, расстояние между первой и последней и эквивалентный средний угол скола.
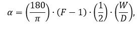
Угол скола рассчитывается по формуле:

где F – общее количество полос, W – длина волны, D – расстояние между первой и последней полосой. Поскольку угол скола измеряется только по обнаруженным полосам, можно проводить как локальные измерения, так и измерения полного диаметра.
Для сохранения полученных изображений приложение поддерживает форматы файлов JPEG, ВМР, PNG и TIFF, что позволяет пользоваться файлами как отдельно, так и формировать единый отчет.
6. Примеры получения интерференционных картин
В качестве примеров рассмотрим образец оптического волокна со следующей геометрией:
1. Пассивное оптическое волокно с геометрией 200/220 мкм (рис. 7).

Рисунок 7 – Интерференционная картина на волокне 200/220 мкм
Для получения качественной интерференционной картины в приложении CleaveMeter Megapixel Viewer необходимо задать оболочку волокна и натяжение, при котором проведен скол оптического волокна.

Рисунок 8 – Задание параметра оболочки и натяжение при сколе волокна
После получения самой картины можно рассчитать параметры скола, в данном случае они составляют 0,653 °. Скол изначально проводился под прямым углом, следовательно, он должен быть близок к 0, однако данном случае он попадает в допустимый диапазон для дальнейшей сварки волокна (допустимый диапазон угла для сварки волокон обычно составляет от 0 до 1 градуса).

Рисунок 9 – Параметры исследуемого образца волокна 200/220 мкм
На основе интерференционной картины можно получить критерии качества «pass / fail», что позволяет определить ровность краевого скола. Если краевой скол больше, чем указанный предел, то края подсвечиваются красным, если они находятся в заданных параметрах, то зеленым.

Рисунок 10 – Параметры краевого скола волокна 200/220 мкм
3D изображение можно получить также только при наличии интерференционной картины, без нее программа не сможет рассчитать угол скола и построить объемную модель (рис. 11).
Рисунок 11 – 3D модель скола волокна 200/220 мкм
Несмотря на малый угол скола, в функции 3D не происходит никакого усреднения, именно поэтому визуально кажется, что угол скола большой. Однако нужно полагаться только на количественные показатели расчёта программного обеспечения.
2. Пассивное оптическое волокно с геометрией 20/400 мкм (рис. 12).
Для волокна стандартной, но увеличенной геометрии алгоритм работы с программой аналогичен. Находим интерференционную картину и переходим к расчетам угла и краевого скола. Для данного образца угол скола составляет 0,815 °.

Рисунок 12 –Параметры измерения волокна 20/400
3D модель оптического волокна 20/400 мкм представлена на рисунке 13.

Рисунок 13 – 3D модель скола волокна 20/400 мкм
Благодаря получению 3D картин можно определить серьезные дефекты скола волокна, который могут быть критичны для некоторых применений.
3. Пассивное оптическое волокно, сохраняющее состояние поляризации с геометрией 10/125 мкм (10/125 мкм РМ) (рис. 14).
Расчет оптического волокна, сохраняющее состояние поляризации не простая задача. Интерференционные полосы могут искажаться при попадании на напрягающие стержни, следовательно, на выходе получается немного искаженная картина.

Рисунок 14 – Изображение и интерференционная картина для волокна 10/125 мкм РМ
Результаты расчета в данном случае показывают, что угол скола составляет 0,521 °, а краевые дефекты более 5 %.

Рисунок 15 – Изображение и интерференционная картина для волокна 10/125 мкм РМ
В данному случае программа не идентифицирует стержни, поэтому перпендикулярное измерение интерференции для панды не подходит и необходимо выделять некоторые малы участки.
4. Активное оптическое волокно с геометрией 20/400 мкм (рис. 16).
Активные оптические волокна с некруглой геометрией всегда интересная задача. Такие волокна используются в высокомощных лазерных системах, именно поэтому необходимо следить за качество выполнения сварных соединений, а также качество скола, если это, например, выходной конец лазерной схемы.

Рисунок 16 – Интерференционная картина и параметры измерения активного волокна 20/400 мкм
Для данного образца угол скола составляет 0.889 °, качество скола соответствует допустимым. 3D модель полученного скола волокна представлена на рис. 17.

Рисунок 17 – 3D модель активного волокна 20/400 мкм
Интерферометр от Nyfors является более мобильным и портативным интерферометром. За счет широкого охвата поля обзора он способен анализировать волокна диаметром от 125 до 1200 мкм. Также он способен производить исследование сколов волокна, произведенные под углом, что говорит о его универсальности в производстве.

