Новый фемтосекундный волоконный лазер FemtoYL с длительностью импульса менее 200 фс!
Новинка от YSL Photonics: фемтосекундный волоконный лазер FemtoYL с длительностью импульса менее 200 фс
Лазер идеально подходит для получения микроструктур с наилучшим качеством кромок без сколов, трещин и других дефектов. Излучение с длительностью импульсов короче длительности протекания термических процессов (~1 пс) является ультракоротким излучением (УКИ) и чем короче длительность импульса, тем меньше проявляются термические эффекты при обработке материалов и меньше зона термического воздействия (см. уравнение 1) [1].
(1)
где τ – длительность импульса, D – коэффициент термической диффузии, l – диаметр зоны термического воздействия (HAZ).
В качестве примера расчетное значение HAZ ~0.3 нм для стекла BK7 @ 200 фс.
Внешний вид лазера приведен на рисунке 1.

Рисунок 1 – Внешний вид лазера FemtoYL
Лазер FemtoYL может излучать, как основную гармонику активного волокна, легированного ионами Yb (1030 нм), так и с удвоенной частотой (515 нм). В таблице 1 приведены основные измеренные параметры для первой и второй гармоники лазера. Результаты тестирования источника указаны в таблице 1. Как можно видеть, лазер генерирует импульсы с длительностью менее 200 фс и высокой стабильной средней мощностью 20 Вт @ 1064 нм.
Таблица 1 – Измеренные параметры FemtoYL
|
Параметр |
ИК излучение |
Зеленое излучение |
| Ширина импульса, фс | 178 | 166 |
| Средняя мощность, Вт* | 20.7 | 10.47 |
| Центральная длина волны, нм | 1030.58 | 515.78 |
| Стабильность мощности (rms, 1 час), % | 0.17 | 0.16 |
| Диаметр пятна, мм | 2.959/2.885 | 2.182/2.088 |
| Округлость пятна,% | 97.5 | 95.7 |
| Стабильность наведения пучка, мкрад | 19.22 | - |
| Качество пучка, М2 | 1.094/1.254 | 1.107/1.160 |
| Расходимость излучения, мрад | 0.531/0.655 | 0.438/0.420 |
* Средняя мощность лазера может быть увеличена плоть до 1000 Вт по запросу.
Были измерены длительности импульса FemtoYL. Автокорреляционные кривые приведены на рисунках 2 и 3. Все дальнейшие измерения проводились при частоте следования импульсов равной 100 кГц и температуры окружающей среды 20 ℃.
Рисунок 2 – Длительность импульса при частоте следования импульсов 100 кГц
А) 1030 нм; Б) 515 нм
В таблице 2 приведены энергетические и мощностные параметры лазерного излучения в зависимости от перестройки частоты следования импульсов. Максимальная средняя мощность составила 32.9 Вт, энергия в импульсе - 207 мкДж при частоте 100 кГц и максимальной пиковой мощностью порядка ГВт. Сверхвысокие пиковые мощности > 1МВт обеспечивают многофотонный принцип взаимодействия УКИ с поверхностью. Это позволяет использовать FemtoYL для обработки как металлов, полупроводников, так и прозрачных диэлектрических материалов.
Таблица 2 – Параметры лазерного излучения в зависимости от частоты следования импульсов
| Частота следования импульсов, кГц | Мощность ИК излучения, Вт | Энергия в импульсе, мкДж | Мощность зеленого излучения, Вт | Энергия в импульсе, мкДж |
| 5000 | 32.9 | 6.58 | 3.1 | 0.62 |
| 2500 | 29 | 11.60 | 5.61 | 2.24 |
| 1200 | 28.1 | 23.42 | 9.02 | 7.52 |
| 1000 | 27.2 | 27.20 | 9.52 | 9.52 |
| 800 | 26.1 | 32.63 | 9.98 | 12.48 |
| 500 | 24.5 | 49.00 | 11.64 | 23.28 |
| 300 | 21 | 70.00 | 12.21 | 40.70 |
| 200 | 17.74 | 88.70 | 12.44 | 62.20 |
| 100 | 20.7 | 207.00 | 10.47 | 104.70 |
| 50 | 5.5 | 110.00 | 4.83 | 96.60 |
| 25 | 2.4 | 96.00 | 2 | 80.00 |
Для измерения спектральных характеристик использовался анализатор спектра YOKOGAWA AQ6373B**. В ходе работы были измерены центральная длина волны и ширина спектральной линии на уровне FWHM. Для излучения на основной гармонике центральная длина волны составила 1030.58 нм, а ширина 6.18 нм, для второй гармоники – 515,78 нм и 0.80 нм соответственно (см. рисунок 4).
** Анализатор спектра YOKOGAWA AQ6370D доступен для заказа со склада

Рисунок 3 – Ширина спектральной линии:
А) 1030 нм; Б) 515 нм
Измерения средней мощности излучения проводились на протяжении 24 часов с целью установления ее стабильности. Данные измерений для ИК и зеленого излучения приведены в таблице 3. Графики измерения приведены на рисунке 6.
Таблица 3 – Параметры измерения стабильности мощности FemtoYL
| Параметр | ИК излучение | Зеленое излучение |
| Максимальная мощность, Вт | 20.73 | 10.92 |
| Минимальная мощность, Вт | 20.51 | 10.83 |
| Медианная мощность, Вт | 20.60 | 10.89 |
| Нестабильность мощности (rms, 24 часа), % | 0.28 | 0.14 |
Рисунок 4 – Стабильность средней мощности зеленого излучения:
А) 1030 нм; Б) 515 нм
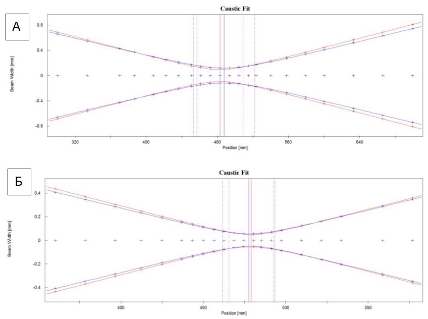
Были проведены измерения пространственного профиля пучка, его качества и расходимости. Изображения с распределением интенсивности луча приведены на рисунке 5. Изображения каустики приведены на рисунке 6. Данные по характеристикам лазерного пучка приведены в таблице 4.

Рисунок 5 – Измерения профиля пучка:
А) 1030 нм; Б) 515 нм

Рисунок 6 – Измерения перетяжки луча:
А) 1030 нм; Б) 515 нм
Таблица 4 – Параметры пучка FemtoYL
| Параметр | ИК излучение | Зеленое излучение |
| Диаметр пучка, мм | 2.959/2.885 | 2.182/2.088 |
| Округлость, % | 97.5 | 95.7 |
| Расходимость θx, мрад | 0.531 | 0.438 |
| Расходимость θy, мрад | 0.655 | 0.420 |
| Качество пучка М2x | 1.094 | 1.107 |
| Качество пучка М2y | 1.254 | 1.160 |
Лазер может управляться при помощи персонального компьютера. Программное обеспечение имеет возможность для перестройки частоты следования импульсов, средней мощности излучения, а также длительности импульса. Кроме того, можно отслеживать рабочие условия источника и его срок наработки на отказ. Внешний вид программного обеспечения изображен на рисунке 7.

Рисунок 7 – Внешний вид программного обеспечения
Основные применения лазера FemtoYL:
- Сварка стекла
- Изменение показателя преломления
- Двухфотонная полимеризация
- Резка и сверление тонкопленочных материалов
- Производство биочипов
- Производство медицинских, оптоэлектронных и полупроводниковых приборов
1. Bulushev E. et al. High-speed and crack-free direct-writing of microchannels on glass by an IR femtosecond laser //Optics and Lasers in Engineering. – 2016. – Т. 79. – С. 39-47;
Заказ можно оформить в карточке товара, перейдя по соответствующей ссылке, или отправить запрос на почту info@lenlasers.ru