Двояковыпуклые линзы
Линза - это прозрачный оптический компонент, используемый для фокусировки или дефокусировки излучения, излучаемого периферийным объектом. Световые лучи, прошедшие линзу, формируют действительное или мнимое изображение.
Изображения, формируемые линзами, возникают из-за преломления света. Выпуклая линза еще называется собирающей или положительной. Она фокусирует лучи, исходящие от точечного объекта, в определенной точке; следовательно, сформированное изображение считается действительным.
Двояковыпуклая линза – это линза с двумя выпуклыми поверхностями, оптические центры которых совпадают.

Рисунок 1 – Схема ДВЛ
Когда излучение попадает на края линзы, оптические лучи становятся параллельны друг другу.
Типы линз
По кривизне двух оптических плоскостей линзы бывают двух типов: двояковыпуклые, выпукло-вогнутые и с одной плоской стороной. Элемент является двояковыпуклым, если обе плоскости выпуклые.
Двояковыпуклые линзы (ДВЛ) применяются как увеличительные или конденсирующие компоненты. Они также находят применение во многих системах формирования изображений, таких как телескопы, монокуляры, микроскопы, бинокли, камеры, проекторы и т. д.
ДВЛ представляют собой простые симметричные элементы, которые содержат две выпуклые линзы со сферической формой, каждая из которых имеет одинаковый радиус кривизны (см. рис 1).
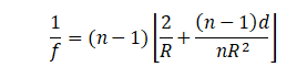
Формула ДВЛ
Для расчета фокусного расстояния сферической линзы можно применить уравнение для толстой линзы, приведенное ниже. В этом выражении n - показатель преломления материала, R1 и R2 - радиусы кривизны, а d - толщина.

Для двояковыпуклых линз, у которых передний и задний радиусы кривизны равны по величине и противоположны по знаку, R1 = -R2 = R, имеем

Типовые материалы и параметры линз
BK7, вероятно, представляет собой наиболее распространенное оптическое стекло, из которого производят высококачественные оптические компоненты видимого и ближнего инфракрасного диапазона. Его обычно выбирают всякий раз, когда дополнительные преимущества УФ плавленого кварца (то есть хорошее пропускание в УФ и более низкий коэффициент теплового расширения) не являются необходимыми. Его высокая однородность, низкое содержание пузырьков и включений, а также простота изготовления делают его хорошим выбором для пропускающей оптики. BK7 также относительно твердый материал, он показывает хорошую устойчивость к царапинам.
CaF2 обычно используется для приложений, требующих высокого пропускания в инфракрасном и ультрафиолетовом спектральных диапазонах. Его чрезвычайно высокий порог лазерного повреждения делает CaF2 полезным для использования с эксимерными лазерами. Материал демонстрирует низкий показатель преломления, варьирующийся от 1,35 до 1,51 в диапазоне его использования от 180 нм до 8,0 мкм. Фторид кальция также довольно химически инертен и обладает превосходной твердостью.
Линзы из ZnSe особенно хорошо подходят для использования с мощными CO2-лазерами.
|
Материал |
Диапазон пропускания |
|
BK7 |
350 нм - 2.0 мкм |
|
УФ Плавленый кварц |
185 нм - 2.1 мкм |
|
CaF2 |
0.18 - 8.0 мкм |
|
ZnSe |
0.6 - 21.0 мкм, обычно используется AR покрытие 7 мкм - 12 мкм |
Так как данные оптические элементы применяются в высокоточных оптических установках, необходимо тщательно подбирать изделие под конкретную задачу, ориентируясь на допуски.
- Допуск диаметра: критический механический допуск, который необходимо учитывать при установке оптики. Отклонения от номинального диаметра могут помешать правильной посадке линз в их монтажном приспособлении, что приведет к децентрализации или наклону внутри оптического узла.
- Центрирование: точное выравнивание оптической оси гарантирует, что линзы могут использоваться в сложных приложениях для обработки изображений. В сочетании с упомянутыми выше прецизионными допусками на диаметр, строгие допуски на центровку обеспечивают минимальное биение изображения в оптической сборке.
- Качество поверхности: даже незначительные царапины или ямки на оптической плоскости элемента могут привести к рассеянию лучей, что может быть вредным для лазерных приложений. Данный параметр также влияет на порог лазерного повреждения. Объективы с плохим допуском на данный параметр могут выйти из строя при воздействии излучения даже средней мощности. Царапины и углубления на линзе также могут привести к тому, что лазерный свет будет рассеиваться взад и вперед, разрушая покрытие.
Пример важности допусков
В расширителях луча ошибки центрирования могут привести к дрейфу луча, в результате чего выходной луч не параллелен входному лучу. Дрейф луча усложняет юстировку лазерных систем, поскольку требует наклона механического корпуса для компенсации несоосности входной и выходной осей.

Рисунок 2 - Влияние ошибок центрирования на расширитель луча
Типичные характеристики линз приведены в таблице ниже.
|
Параметр |
Значение |
|
Неравномерность поверхности |
λ/4 |
|
Качество поверхности |
40-20 S-D |
|
Допуск на толщину |
±0.1 мм |
|
Допуск на диаметр |
+0.0 / -0.1 мм |
|
Центровка |
<3 угловых минут |
|
Световой диаметр |
>90% от диаметра линзы |
|
Допуск на фокусное расстояние |
±1% |
Многие линзы имеют антиотражающие покрытия на своих плоскостях, которые существенно уменьшают отражения, вызванные изменением показателя преломления. Обратите внимание, однако, что это работает только в ограниченном диапазоне длин волн. Существует компромисс между сильным подавлением отражений и широкой полосой пропускания.
ДВЛ работают лучше всего, когда объект и изображение находятся на противоположных сторонах линзы, а отношение объекта к расстоянию до изображения (сопряженное соотношение) составляет от 0,2 до 5.
ДВЛ исправляют следующие проблемы, возникающие в оптических системах:
- Кома
- Искажение
- Хроматические и сферические аберрации
Благодаря своим особенностям, ДВЛ применяются для фокусировки лучей в объективах и конденсорах. Они обеспечивают меньший фокус по сравнению с аналогичными плоско-выпуклыми линзами. ДВЛ также применяются как расширители пучка и в комбинациях с другими оптическими элементами в проекционных системах.
Применение
Ниже приведены самые распространенные сферы использования ДВЛ:
- в очках
У человека могут быть такие проблемы, как дальнозоркость или близорукость, поскольку хрусталик глаза не может правильно фокусировать лучи на сетчатке. У человека, страдающего дальнозоркостью, изображение, формируемое хрусталиком, находится далеко за сетчаткой. ДВЛ, установленная перед глазом, может скорректировать эту проблему. Она уменьшает длину фокусировки, и излучение должным образом фокусируется на сетчатке.
- в фотоаппаратах
В фотоаппаратах ДВЛ используется для фокусировки на изображении, а также для увеличения изображения объекта. Кроме того, объектив камеры состоит из комбинации выпуклой и вогнутой линз, за которыми следует вторая выпуклая линза.
- в микроскопах
В микроскопе ДВЛ увеличивают изображения. Микроскопы создают увеличенные изображения очень маленьких объектов, для этого очень полезны выпуклые линзы. Более того, простые микроскопы в большинстве своем состоят из трех линз.