MOPA излучатель для лазерной обработки материалов
MOPA излучатель для лазерной обработки материалов
С.Н. Шелыгина1, А.А. Акимов2, Н.В. Буров2, Райан Янг3, Д.С. Шаймадиева1
1Санкт-Петербургский Национальный Исследовательский Университет Информационных Технологий, Механики и Оптики
2АО «ЛЛС»
3JPT Opto-electronics (Китай)
Установки для лазерной маркировки на основе волоконных лазеров наиболее распространены и применяются в широком спектре областей: электроника, машиностроение, пищевая, медицинская, упаковочная промышленности и т.д.
В настоящее время для маркировки используются волоконные лазеры двух типов: с модуляцией добротности (Q-switch) и лазеры с конфигурацией МОРА. Первые занимают значительную долю рынка, поскольку известны достаточно давно.
Конфигурация МОРА - Master Oscillator Power Amplifier (задающий генератор-усилитель мощности) - является самой инновационной и технологичной системой на сегодняшний день. В традиционных однокамерных лазерных системах приходится выбирать между шириной полосы и мощностью излучения. С технологией MOPA больше не придется идти на этот компромисс.
Конструкция MOPA является двухкамерной, ее образуют задающий генератор и усилитель мощности. Задающий генератор предназначен для генерации излучения небольшой мощности и c очень узкой шириной полосы. Это излучение используется в качестве затравочного во второй активной среде, которая действует как усилитель мощности, где излучение усиливается до определенного уровня с сохранением его основных параметров. Одно из преимуществ этой системы заключается в том, что она не требует задающего пучка высокой мощности, а при этих условиях проще реализовать узкую ширину полосы частот. Способность конфигурации МОРА увеличивать выходную мощность излучения без изменения геометрии системы делает технологию самым популярным методом масштабирования мощности. [1, 3, 4, 6]
Если в системе в качестве усилителя используется усилитель на оптическом волокне, то такая система называется MOFA (Master Oscillator Fiber Amplifiers). [5]
Ключевые слова: лазерная обработка, конфигурация МОРА, волоконный лазер
Keywords: laser processing, MOPA configuration, fiber laser
Сравнение характеристик волоконных лазеров МОРА JPT и лазеров с модуляцией добротности (Q-switched)
1. Форма импульса
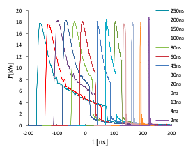
Рисунок 1 - Q-Switch лазер: пиковая мощность проседает при увеличении частоты, длительность импульса не может быть отрегулирована.

Рисунок 2 – Лазер МОРА JPT: поддерживает высокую пиковую мощность при различной частоте повторения и длительности импульсов.
2. Пиковая мощность
С увеличением частоты следования импульсов пиковая мощность при добротности проседает и зачастую становится меньше порога разрушения материала. Лазер МОРА сохраняет высокий уровень пиковой мощности при высокой частоте следования импульсов.
Низкая частота:

Высокая частота:

Рисунок 2 – Сравнение пиковой мощности лазеров Q-switch и МОРА при высоких и низких частотах: а) низкая пиковая мощность (ниже порога разрушения); б) высокая пиковая мощность, короткая длительность импульса.
3. Характеристики включения/выключения генерации излучения
Лазер МОРА имеет улучшенные характеристики включения/выключения генерации излучения: быстрое время нарастания и спада фронтов импульсов. Представлены осциллограммы для лазера JPT YDFLP M6+.

Рисунок 3 - Характеристики включения/выключения генерации излучения MOPA лазера
Рисунок 4 - Характеристики включения/выключения генерации излучения Q-switch лазера
4. Нулевая задержка
Волоконные лазеры МОРА JPT обладают функцией контроля первого импульса, что делает лазер идеальным для выполнения маркировки.

а) Q-switch лазер

б) Лазер МОРА JPT
Рисунок 5 – Результат гравировки
5. Контроль каждого импульса
JPT MOPA управляет каждым отдельным импульсом и дает регулярную матрицу импульсов. Благодаря этой функции лазер обеспечивает высокие показатели маркировки QR-кодов, штрих-кодов, при скрайбировании и т. д.
а) Q-switch лазер: нерегулярная последовательность импульсов
б) Лазер JPT MOPA: идеальная матрица импульсов.
Рисунок 6 – Сравнение последовательности импульсов лазеров
6. Утечка мощности
У JPT MOPA отсутствует утечка энергии, что хорошо заметно при сравнении маркировок QR-кода. У маркировки, выполненной лазером МОРА, более высокая четкость, особенно при небольшом размере QR-кода.
а) Q-switch лазер
б) Лазер MOPA JPT
Рисунок 7 – Сравнение результатов маркировки
Волоконные лазеры МОРА и YAG лазеры
Волоконные лазеры МОРА и YAG лазеры
YAG лазеры и волоконные лазеры MOPA обладают возможностями маркировки, гравировки и травления на различных поверхностях и материалах. Хотя результат их работы практически аналогичен, все больше компаний обнаруживают конкурентное преимущество использования волоконных лазеров MOPA.
YAG лазеры
YAG лазеры используют ламповую накачку, а в качестве активной среды - кристалл YAG. Лампа и кристалл находятся в оптическом резонаторе, обычно позолоченном, который отражает свет и участвует в процессе генерации лазерного излучения.
По сравнению с лазерами МОРА эти системы лишены многих преимуществ, тем не менее широко используются.
Например, лампы для YAG лазеров имеют короткий срок службы и нуждаются в частой замене. Также они выделяют большое количество тепла и требуют водяного охлаждения. YAG лазеры обладают не очень высокой эффективностью и подвержены распространенным проблемам разрегулировки.
Волоконные лазеры MOPA
В отличие от YAG лазеров, для волоконных лазеров MOPA в качестве механизма накачки используются полупроводниковые диоды, в качестве усилителя - легированное оптическое волокно, которое также служит резонатором. Волоконные лазеры MOPA намного надежнее и эффективнее предыдущих технологий.
Установки для лазерной маркировки на основе волоконного МОРА лазера
Сравнение установок для лазерной маркировки на основе волоконных лазеров MOPA и лазеров с модуляцией добротности.
1. Удаление слоя оксида алюминия
Современная электроника становится все легче и тоньше. Большинство производителей мобильных телефонов, планшетов и компьютеров используют легкий оксид алюминия в качестве внешней оболочки своих изделий. При маркировке на тонкой алюминиевой пластине лазер с модуляцией добротности может легко деформировать материал, что напрямую влияет на внешний вид изделия.
Лазер МОРА позволяет выполнить более точную маркировку без деформации материала. Это связано с тем, что лазер MOPA позволяет настроить небольшую длительность импульсов лазерного излучения, которые воздействуют на материал в течение более короткого времени, но с достаточной энергией для удаления анодного слоя.
Таким образом, для удаления слоя оксида алюминия с тонкой пластины лазеры MOPA - лучший выбор.
2. Черная маркировка на анодированном алюминии и цветная маркировка стали
Крупнейшие производители электроники, такие, как Apple, Huawei, ZTE, Lenovo и Meizu используют лазерную маркировку для нанесения идентификационной информации на поверхности своих изделий из анодированного алюминия. Требование к такой маркировке – высокая точность и черный цвет. На сегодняшний день отвечать таким требованиям может только лазер MOPA. Поскольку лазер MOPA имеет широкий диапазон регулировки длительности и частоты импульса, короткая длительность импульса и его высокая частота обеспечивает черную маркировку поверхности материала. Различные комбинации параметров приводят к различным оттенкам серого. Также подбором параметров можно выполнить цветную маркировку на нержавеющей стали.[2]
Рисунок 8 - Черная маркировка на алюминии
Рисунок 9 - Цветная маркировка на нержавеющей стали
3. Прецизионная обработка электроники, полупроводников
Прецизионная обработка электроники и полупроводников требует тонкой линии. Лазеры с модуляцией добротности не обеспечивают регулировку параметров длительности импульса. Конструкция MOPA за счет этой способности позволяет выполнять маркировку тонкой линии с гладкими краями.

Рисунок 10 – Пример маркировки QR-кода на PCB при помощи лазера МОРА
Таблица 1 - Возможности применений волоконных лазеров МОРА и лазеров с модуляцией добротности. [2, 3]
| Задача | Q-switch лазер | Лазер МОРА |
| Удаление слоя поверхности с тонкой пластины оксида алюминия | Происходит деформация поверхности | Деформации поверхности нет |
| Черная маркировка анодированного алюминия | Не выполняется | Возможность добиться различных оттенков черного настройкой параметров |
| Прецизионная обработка электроники, полупроводников | Слишком большая длительность импульса не позволяет выполнить прецизионную обработку | Более качественное пятно излучения, настройка длительности импульса, точная настройка энергии позволяют выполнять обработку |
| Глубокая гравировка металла | Грубая заливка | Качественная заливка |
| Черная маркировка нержавеющей стали | Необходимо обрабатывать в расфокусе, сложная настройка | Возможность добиться различных цветов настройкой длительности и частоты импульсов |
| Маркировка пластика | Маркировка склонна к пожелтению | Маркировка не желтеет |
| Маркировка бутылок из прозрачного пластика | Остается налет, выброс пластика | Чистая маркирвока |
Все приведенные примеры маркировки выполнены на оборудовании, производимом компании JPT Opto-electronics.
Разработка и производство волоконных лазеров МОРА является одним из направлений компании JPT Opto-electronics. Они специализируется на исследованиях, производстве, продаже и техническом обслуживании волоконной оптики и волоконных лазеров. Продукты компании широко используются в оптической связи, оптическом зондировании, лазерной обработке, медицинской лазерной терапии и т. д. У JPT очень сильная исследовательская команда, каждый год она выполняет несколько проектов от государственных и общественных институтов, владеет многими патентами и интеллектуальной собственностью. [4]
| Компания «ЛЛС» представляет весь спектр продукции JPT на территории РФ и предлагает наиболее выгодные условия поставки продукции, полную техническую поддержку, а также поставку образцов. Для получения дополнительной информации обращайтесь в компанию ЛЛС. |
Заключение
Волоконный лазер МОРА с уверенностью можно назвать самым гибким, благодаря возможности регулировки длительности импульсов. Устройство широко применяется во многих сферах деятельности, и, поскольку область лазерных технологий растет и развивается, ожидается использование лазера в медицинской промышленности и технологии быстрого прототипирования опытных образцов.
Список литературы
1. Yao Wen, Fan Zhang, Xinhai Zhang “Tunable Nanosecond Pulse Fiber Laser with High Beam Quality and All Fiber Structure” IEEE 3rd Optoelectronics Global Conference (OGC), 2018.
2. Sami T. Hendow, Paulo T. Guerreiro, Niels Schilling, and Jan Rabe “Pulse shape control of a MOPA fiber laser for marking of stainless steel and other materials” ICALEO 2010, 951, 2010.
3. Ryan Young “Advantages of MOPA laser” URL:
(дата обращения: 03.02.2019).
4. Rouzbeh Sarrafi, Cristian Porneala, Xiangyang Song, Mathew Hannon, Joshua Schoenly, Dana Sercel, Sean Dennigan, Roy Van Gemert, Heath Chaplin, and Marco Mendes, “Laser micromachining with short pulsed fiber lasers” ICALEO 2015, 236, 2015.
5. The Encyclopedia of Laser Physics and Technology, URL:
6. Система двухкамерного F2 лазера с выбором линии: пат. 2298271 США: МПК H01S3/02
H01S3/09 H01S3/097/ НОУЛЕС Дэвид С. (US), БРАУН Дэниел Дж. В. (US),. [и др.]; заявитель и патентообладатель: САЙМЕР, ИНК. (US); заявл. 19.08.2002; опубл. 27.04.2007